Agradecimentos a Rodrigo Rodrigues pelas questões e Ana Moura
C.1) A mais conhecida história que envolve as provas das olimpíadas é a da maratona, a última prova da competição. Ela é uma homenagem ao soldado ateniense Fidípides que, em 490 a.C., percorreu cerca de 40 km de Marathonas até Atenas para noticiar que os persas tinham sido derrotados. Ele evitou que as mulheres atenienses cometessem suicídio em massa, como havia ordenado o rei de Atenas caso perdesse a guerra. Atualmente, a distância da maratona é 42,195 km. O recorde olímpico da prova é de 2 h e 6 min, conseguido pelo queniano Samuel Wanjiru, em 2008 na cidade de Pequim. Determine qual o valor aproximado da velocidade média de Samuel quando conseguiu seu recorde.
a)
296 m/min
b)
312 m/min
c)
335 m/min
d)
384 m/min
C.2)
A escala termométrica adotada pela Inglaterra foi criada pelo inglês
Fahrenheit. Já na França e no Brasil, usa-se a escala criada pelo francês
Celsius. Para a escala criada pelo inglês, o gelo derrete a 32 ºF e a água
entra em ebulição a 212 ºF. Os atletas ingleses da maratona se preocupam muito
com a temperatura do Rio de Janeiro em agosto, mês da olimpíada 2016, pois
ficarão por muito tempo submetidos às condições do ambiente. Dados
meteorológicos indicam que no Rio, no horário da maratona, a temperatura média
será de 10 ºC. Para entender o que isso significa, os ingleses precisam
converter esse valor para a escala Fahrenheit. Qual o valor desta temperatura,
feita a conversão?
a)
24 ºF
b)
36 ºF
c)
46 ºF
d)
50 ºF
C.3) O rugby, muitas vezes chamado de “futebol americano”, entrou nos jogos olímpicos em 1900. Nas suas jogadas, o contato corpo a corpo é inevitável. Às vezes, um jogador defensor se lança e agarra o jogador atacante no ar, entre uma passada e outra. Neste caso, os dois jogadores podem ser tratados como um sistema mecanicamente isolado enquanto nenhum tocar o solo. Digamos que um jogador defensor tinha 90,0 kg e 30,0 km/h de velocidade quando agarrou um jogador atacante que tinha 70,0kg e possuía velocidade de 10,0 km/h; digamos, ainda, que isso ocorreu em uma fração de segundo antes deles tocarem o solo.
Qual a velocidade dos dois, unidos, logo
após essa jogada? Considere que os dois jogadores estavam se movimentando no
mesmo sentido.
a)
18,32 km/h
b)
21,25 km/h
c)
24,16 km/h
d)
32,46 km/h
C.4)
Uma das provas de atletismo mais esperadas é a de 100 m rasos. Ela revela o
homem mais rápido do mundo que, atualmente, é o jamaicano Usain Bolt com a
marca de 9,58 s. A arrancada desses atletas é tão poderosa que eles usam um
apoio que se encaixa no solo para que seu tênis não deslize. Se os coeficientes
de atrito do solado de um tênis normal, sobre o asfalto, assumissem os valores
0,8 e 0,6, qual a aceleração máxima que Bolt poderia conseguir na arrancada
correndo com um tênis normal sobre o asfalto?
Dados:
aceleração da gravidade = 10 m/s2
a)
6 m/s2
b)
7 m/s2
c)
8 m/s2
d)
9 m/s2
C.5)
O nado sincronizado é um dos dois esportes olímpicos exclusivamente feminino.
Duetos e equipes de oito nadadoras fazem desse esporte, um dos mais belos das olimpíadas.
No início de uma apresentação de um dueto, durante alguns segundos, as
nadadoras começaram a oscilar verticalmente na água, na frequência de 1,6 Hz,
em oposição de fase, gerando ondas circulares. Tais ondas se movimentam com
0,96 m/s pela superfície da água. Uma boia que estava a 2,3 m de uma dessas
nadadoras, não oscilava, mesmo passando essas ondas por ela. A que distância da
outra nadadora esta boia pode estar?
Figura extraída em 29/02/2016 no site http://globoesporte.globo.com/olimpiadas/noticia/2012/08/dueto-russo-conquistaprimeiro-ouro-do-nado-sincronizado-em-londres.html
Dados:
Considere que as amplitudes das ondas são iguais na posição da boia.
a)
2,3 m
b)
2,4 m
c)
2,5 m
d)
2,6 m
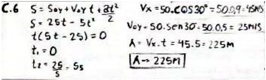
C.6)
A olimpíada do Rio de Janeiro será marcada pelo retorno do golfe como esporte
olímpico após um período de 112 anos. O irlandês Rory McIlroy chega como
favorito para o ouro nessa modalidade. Digamos que um jogador de golfe dê uma
tacada forte, o que faz a bola sair com 50 m/s sob um ângulo de 30o em relação
à horizontal. Caso o ar não interferisse no movimento da bola, qual seria o
alcance desse lançamento? Considere que a bola retorna à mesma altura inicial.
Dados:
aceleração da gravidade = 10 m/s2; sen 30º = 0,5 e cos 30º
0,9
a)
225 m
b)
256 m
c)
280 m
d)
320 m
C.7)
O recordista de levantamento de peso para atletas acima de 105 kg é considerado
o homem mais forte do mundo. Aleksey Lovchev deseja conquistar este título na
olimpíada do Rio. Na internet, circula um vídeo deste enorme russo mantendo 256
kg acima de sua cabeça, a 2,4 m do solo. Este mesmo efeito poderia ser
conseguido com duas pequenas esferas, A e B, eletrizadas com cargas iguais e
posicionadas conforme a figura. Para esta situação, qual o valor da carga
elétrica que cada esfera deveria possuir?
Dados:
constante eletrostática = 9.109 N.m2.C-2;
Aceleração da gravidade = 10 m/s2
a)
0,64 dC
b)
1,28 mC
c)
2,40 uC
d)
3,24 nC
C.8)
Daniele Hypolito (45 kg) é uma das promessas brasileiras de medalha nas barras
assimétricas em 2016. Antes do salto final, para ganhar impulso, Daniele
costuma dar 2 giros na barra mais alta segurando-a com a mão e mantendo o corpo
reto. Nesta situação, podemos considerar que a massa da atleta se localiza a 1,5
m da barra, passando com 4 m/s na parte mais baixa da trajetória circular no
último giro. Sendo assim, determine a intensidade de força que Daniele deve
fazer na barra neste último giro quando ela passa pela parte mais baixa.
Figura extraída em 29/02/2016 no site http://esporte.uol.com.br/ginastica/ultimas-noticias/2013/11/15/daniele-hypolitopatrocinou-viagem-da-equipe-pre-infantil-do-fla.htm
a)
760 N
b)
820 N
c)
880 N
d)
930 N
C.9)
O atleta de tiro com arco precisa de muita precisão para atingir com uma flecha
o mais próximo do centro do alvo que fica a 70 m. Portanto, é imprescindível
visualizar nitidamente o alvo. Digamos que um arqueiro tenha miopia. Para a
situação de competição, os óculos que utiliza corrigem perfeitamente este problema.
A luz que vem inicialmente do alvo, ao refratar nesses óculos, chega aos olhos
do atleta como se fosse produzida a 35 m. Qual o valor da distância focal da
lente que o atleta precisará usar para ver com perfeita nitidez o alvo?
a)
70 m
b)
-70 m
c)
35 m
d)
-35 m
C.10)
O estádio aquático olímpico do Rio de Janeiro disponibiliza 60.000 lugares para
as competições de natação, nado sincronizado e polo aquático. De acordo com as
normas olímpicas, a temperatura da água na competição de natação deve estar
entre 25ºC e 28ºC. Os engenheiros precisaram colocar um aquecedor elétrico para
aumentar a temperatura da água no período das olimpíadas, que acontecem no
inverno. A resistência elétrica deste aquecedor deveria produzir no mínimo
60.000 kcal por minuto para aquecer rapidamente a piscina. Tal resistência é
composta por um fio de 90 m de comprimento e 8 mm2 de seção transversal.
Caso venha a ser usada, qual o valor da tensão elétrica mínima que deve
alimentar essa resistência para que ela cumpra sua tarefa?
Dados:
Resistividade da liga metálica usada para fabricar a resistência = 0,2 Ω mm2.m-1
Equivalente
mecânico do calor: 1 cal = 4 J
a)
3,0 kV
b)
4,0 kV
c)
5,0 kV
d)
6,0 kV
C.11)
O polo aquático é uma espécie de futebol na piscina. Esse foi o primeiro
esporte coletivo a fazer parte dos jogos olímpicos. A técnica de sustentação
que os atletas usam para se manter parado na água, com uma boa parte do tronco
para fora em equilíbrio, é a movimentação circular, giratória e alternada das
pernas. Por um curto intervalo de tempo, um atleta de 91 kg manteve 40% do seu
corpo para fora da água enquanto tentava atrapalhar o atacante de lançar a
bola. Neste intervalo de tempo, qual a intensidade da força resultante para
baixo que as suas pernas estavam aplicando na água?
Dados:
Aceleração da gravidade = 10 m/s2
Volume
do atleta = 90 L
Densidade
da água = 1 kg/L
a)
280 N
b)
320 N
c)
370 N
d)
410 N
C.12)
Um inspetor do comitê olímpico internacional foi inspecionar uma das piscinas
que serão usadas nas olimpíadas do Rio. Ele chegou na borda de uma delas e
observou que a tampa (T) do ralo do sistema de limpeza de água estava fora do
lugar. O momento de observação foi registrado na figura ao lado. Os olhos do
inspetor ficam a 1,5 m de altura da borda da piscina. O inspetor mirava o olhar
no ponto P, a 2,0 m de distância dos seus pés, para ver a imagem da tampa.
Sabendo que a distância do ponto P até a tampa mede 5,0 m, determine a
distância entre a vertical que passa pelo ponto P e a tampa.
Dados:
índice de refração da água = 4/3
a)
1,5 m
b)
2,0 m
c)
2,5 m
d)
3,0 m
C.13)
Desde 1996, o ciclismo mountain bike
se tornou uma modalidade olímpica. O circuito possui 5km de extensão que são
percorridos várias vezes em uma prova. Toda vez que o competidor passa pela
linha de chegada, inicia uma nova volta. Em certa prova de mountain bike, um retardatário iniciou uma nova volta, no mesmo
momento que sua namorada tinha acionado um cronômetro, t = 0s. Dois segundos
depois, o líder da prova iniciou uma nova volta com velocidade de 4 m/s e 1 m/s2
de aceleração. Sabendo que o retardatário tinha 4 m/s de velocidade, em t = 0s,
e manteve essa velocidade por 10s, a que distância da linha de chegada o líder
ultrapassou o retardatário? Trate os atletas como pontos materiais.
a)
20 m
b)
24 m
c)
32 m
d) 36 m
C.14)
Fabiana Murer é o maior expoente nacional de salto com varas e uma grande
esperança de medalha. Duas vezes campeã mundial, finalizará a sua carreira na
olimpíada do Rio. Digamos que em um dos seus saltos Fabiana (60 kg), no final
de sua arrancada, finca a sua barra no solo. Essa deforma para depois lançar
Fabiana para cima. Digamos que nesta tentativa, quando a vara estava com sua
deformação máxima, Fabiana possuía 3 m/s de velocidade e iniciava sua subida. A
energia potencial elástica máxima guardada pela vara equivale à energia
armazenada por uma mola de 19.200 N/m de constante elástica deformada de 0,5 m.
Na altura máxima, Fabiana passou por cima do sarrafo com 1m/s de velocidade.
Qual a altura máxima de Fabiana neste salto?
Dados:
Aceleração da gravidade = 10 m/s2
Considere
que o sistema é conservativo.
Despreze
a altura inicial da massa de Fabiana.
a)
3,6 m
b)
4,0 m
c)
4,2 m
d)
4,4 m
C.15)
O lançamento de disco é uma das provas mais tradicionais da olimpíada, sendo
inserida nos jogos há mais de 2700 anos. Curiosamente, os recordes femininos
nesta prova são maiores que os masculinos por conta do disco pesar 2 vezes
menos. Mesmo com o seu formato aerodinâmico, o disco atrita com o ar. Se um
disco feminino (1 kg) for lançado com velocidade de 30 m/s, sob ângulo de 45o,
chegará no solo com uma velocidade de 20 m/s. Considerando que todo o calor
gerado devido ao atrito foi absorvido pelo disco, qual a variação de
temperatura que ele sofrerá durante esse lançamento?
Dados:
Calor específico do metal usado para fazer o disco = 0,2 J/(gºC)
Despreze
a altura inicial de lançamento.
a)
1,25 ºC
b)
1,69 ºC
c)
2,16 ºC
d)
2,56 ºC


















Nenhum comentário:
Postar um comentário